今年5月、静岡ホビーショー2026のマイクロエース社のブースで、「ジオラマレールセット」というジャンク品を入手した。


それがきっかけとなって、息子(13歳)が鉄道模型(Nゲージ)を本格的に始めることになった。
8月には、部屋の机の周りに、Nゲージのレイアウトを作ってしまった。
それほど大きいレイアウトではないけれども、ポイントと留置線がたくさんあって、どんどん拡張工事が行われている。
ラッキーなことに、Nゲージのレンタルレイアウトをやっている店が昨年、近所に引っ越してきたので、そこへ行けばいつでも、大きなレイアウトで走らせることができる環境にある。
ということで、5月以降、Nゲージの車両を欲しがるようになり、だんだんとその数と種類が増えていった。
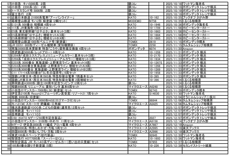
年末になったので、今年はいったい、いくつの車両を買ったのか、リストアップしてみた。
「こんなに買ったのかぁ!」と驚いたが、これだけ揃うと、賑やかになってくる。
過去に乗ったことがある車両もあるし、乗りたかったのに乗れないで終わった車両もある。
私はべつに、すごい鉄道マニアというわけではないけれども、やはり過去に自分が乗った思い出のある車両は、模型で見ても懐かしくなる。
というわけで、今年買った車両リストを公開しちゃおうと思う。すべてNゲージで、新品と中古が混在している。

